手性之阿加曲班手性拆分
App ID: FLM-B210006
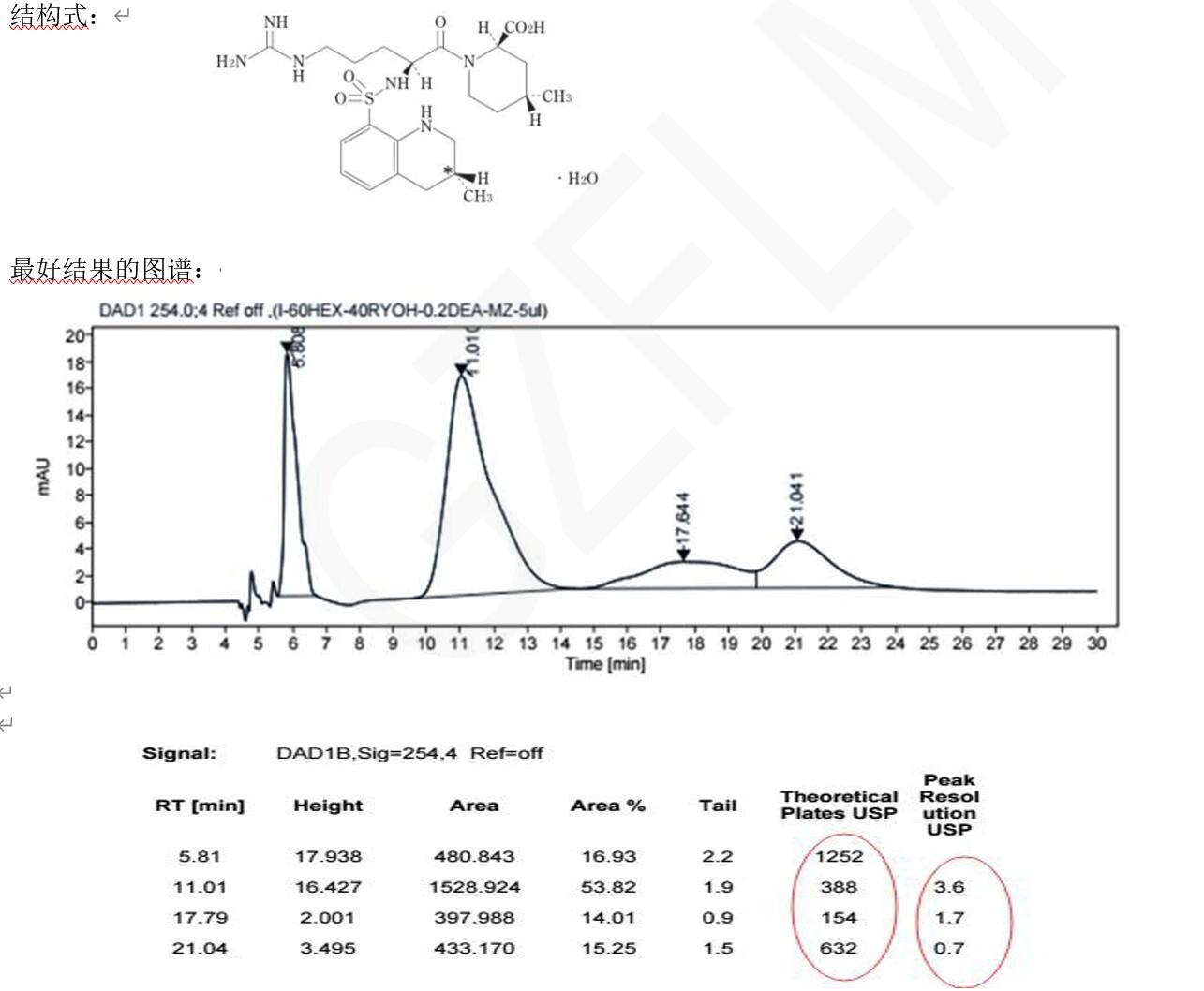
阿加曲班手性拆分
色譜柱:Chiral MZ(2) 5μ 250*4.6mm (貨號:FMG-AC5-B02-NFC)
流動相:正己烷:乙醇(0.2% DEA)=60:40
柱溫: 25℃
檢測波長:254 nm
注:能否分開后面兩個峰,建議 3μ 250*4.6mm 的 Chiral MZ(2)自行購買評估。

注:能否分開后面兩個峰,建議 3μ 250*4.6mm 的 Chiral MZ(2)自行購買評估。